โปรดอัพเดตเบราว์เซอร์

เบราว์เซอร์ที่คุณใช้เป็นเวอร์ชันเก่าซึ่งไม่สามารถใช้บริการของเราได้ เราขอแนะนำให้อัพเดตเบราว์เซอร์เพื่อการใช้งานที่ดีที่สุด

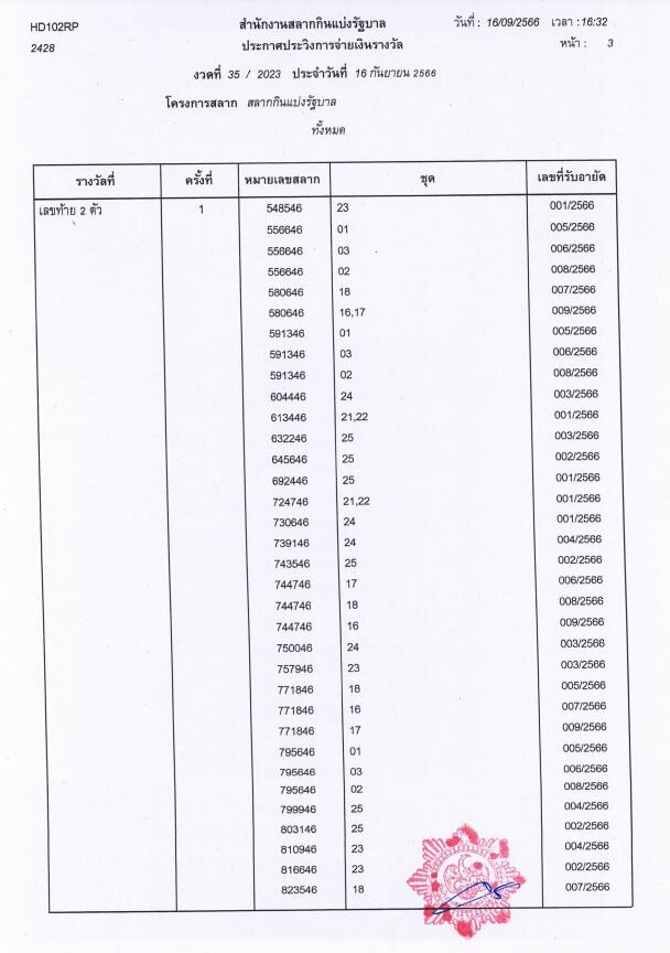
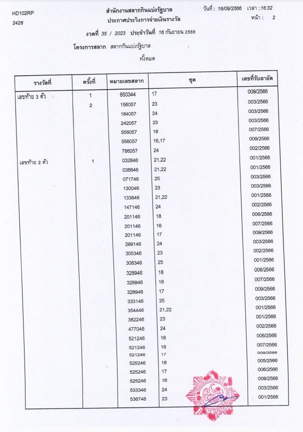
สำนักงานสลากฯ ประกาศ ประวิงการจ่ายเงินรางวัล หวยที่โดนอายัด

Khaosod

อัพเดต 16 ก.ย 2566 เวลา 11.49 น. • เผยแพร่ 16 ก.ย 2566 เวลา 11.46 น.

จากกรณีที่ สำนักงานสลากกินแบ่งรัฐบาล ได้แจ้งอายัดสลาก งวดวันที่ 16 กันยายน 2566 จำนวน 90 เล่ม รวม 9,000 ใบ หลังมีเสียหายแจ้งความ จากจังหวัดอุดรธานีและอุบลราชธานี

ทั้งนี้ภายหลังสลากกินแบ่งรัฐบาล งวดประจำวันที่ 16 ก.ย. ได้ออกรางวัลเป็นที่เรียบร้อย พบว่า สลากกินแบ่งรัฐบาล ได้ออกประกาศ ประวิงการจ่ายเงินรางวัล งวดที่ 35/2023 ประจำวันที่ 16 ก.ย. 2566 ซึ่งประกอบไปด้วย

รางวัลที่ 4 ครั้งที่ 16 รางวัล เลขหน้า 3 ตัว ครั้งที่ 1 และ 2 รางวัลเลขท้าย 3 ตัว ครั้งที่ 1และ 2 รางวัลเลขท้าย 2 ตัว ครั้งที่ 1 ซึ่งสามารถตรวจสอบได้ดังนี้

ตรวจหวย

ดูข่าวต้นฉบับ
Loading...
Loading...
Loading...
Loading...
Loading...
Loading...
Loading...
Loading...
Loading...
Loading...
Loading...
Loading...
Loading...
Loading...
Loading...
Loading...
Loading...
Loading...
Loading...
Loading...
Loading...
Loading...
Loading...
Loading...
Loading...
Loading...
Loading...
Loading...
Loading...
Loading...
Loading...
Loading...
Loading...
Loading...
Loading...
Loading...
Loading...
Loading...